| 1 |
物質名 |
英名 |
1,1′-(ethane-1,2-diyl)bis[pentabromobenzene] (DBDPE) |
| 和名 |
1,1′-(エタン-1,2-ジイル)ビス[ペンタブロモベンゼン] (DBDPE)
別名:1, 2-ビス(ペンタブロモフェニル)エタン |
| CAS RN |
84852-53-9 |
| 構造式 |
出典:ECHA |
| 収載理由 |
vPvB物質 (第57条(e)項) |
| 主な用途など |
この物質は以下の製品に使用されます: 接着剤およびシーラント、コーティング製品、充填剤、パテ、プラスター、造形用粘土、インクおよびトナー、皮革処理製品、潤滑剤およびグリース、研磨剤およびワックス、ポリマー、洗浄・清掃製品、化粧品およびパーソナルケア製品
この物質のその他の環境への放出は、以下の用途から発生する可能性があります:
屋内使用、屋外使用(塗料・コーティング剤や接着剤の結合剤など、材料への含有または付着を伴う場合)、低放出率の長寿命材料における屋外使用(例:金属、木材、プラスチック製の建築資材)、低放出率の長寿命材料における屋内使用(例:床材、家具、玩具、建築資材、カーテン、履物、皮革製品、紙・板紙製品、電子機器)
出典:ECHA 難燃剤
出典:NITE(独法) 製品評価技術基盤機構 |
| 備 考 |
- 化審法:新規公示化学物質
- 安衛法:新規名称公表化学物質
- TSCAインベントリ:flag(PMN; S; 5E)、Active
- 韓国:化評法(K-REACH):既存化学物質
- 台湾:TCCSCA/OSHA:既存化学物質
出典:NITE(独法) 製品評価技術基盤機構 |
| 2 |
物質名 |
英名 |
n-hexane |
| 和名 |
n – ヘキサン |
| CAS RN |
110-54-3 |
| 構造式 |
出典: ECAH |
| 収載理由 |
反復暴露後の特定標的臓器毒性(第57条 (f) 項 – 人の健康) |
| 主な用途など |
反応溶媒、油脂抽出溶剤、接着剤・インキ溶剤
出典:NITE(独法) 製品評価技術基盤機構/化学日報社 |
| 備 考 |
- 化審法:優先評価化学物質、既存化学物質、旧第二種監視化学物質
- 消防法:第4類・第一石油類
- PRTR法(化管法):第一種指定化学物質、令和5年度以降のSDS提供の対象
- 労働安全衛生法:第2種有機溶剤、新規名称公表化学物質、SDS交付義務対象物質他
- 大気汚染防止法:揮発性有機化合物(VOC)
- 米国TSCAインベントリ:既存物質、Active
- 中国:危険化学品目録(2015版)
- 韓国:化評法(K-REACH):既存化学物質
- その他
出典:NITE(独法) 製品評価技術基盤機構 |
| 3 |
物質名 |
英名 |
4,4′-[2,2,2-trifluoro-1-(trifluoromethyl)ethylidene]diphenol and its salts |
| 和名 |
4,4′-[2,2,2-トリフルオロ-1-(トリフルオロメチル)エチリデン]ジフェノール及びその塩類 |
| CAS RN |
物質群につきなし |
| 構造式 |
物質群につき特定構造なし |
| 収載理由 |
生殖毒性(第57条 (C)項) |
| 主な用途など |
情報なし |
| 備 考 |
情報なし |
例
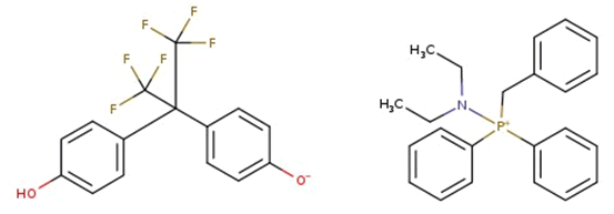
3-1 |
物質名 |
英名 |
Benzyltriphenylphosphonium, salt with 4,4′-[2,2,2-trifluoro-1-(trifluoromethyl)ethylidene]bis[phenol] (1:1) |
| 和名 |
ベンジル(トリフェニル)ホスホニウム=4-[1,1,1,3,3,3-ヘキサフルオロ-2-(4-ヒドロキシフェニル)プロパン-2-イル]フェノラート |
| CAS RN |
75768-65-9 |
| 構造式 |
出典: ECHA |
| 収載理由 |
生殖毒性(第57条 (C)項) |
| 主な用途など |
主にFKM(フッ素ゴム)の加硫促進剤として使用される化学物質。
耐熱性や耐薬品性に優れたゴム、プラスチック、コーティング、インクの特性を向上させる架橋剤や中間体。樹脂・コーティングの改質剤。 |
| 備 考 |
- 化審法:新規化学物質として取り扱わない物質
- 安衛法:新規名称公表化学物質
- 米国:有害物質規制法(TSCA)インベントリ:ACTIVE
- 韓国:化評法(K-REACH):既存化学物質
- 台湾:TCCSCA/OSHA:既存化学物質
出典:NITE(独法) 製品評価技術基盤機構 |
| 例3-2 |
物質名 |
英名 |
Reaction mass of 4,4′-[2,2,2-trifluoro-1-(trifluoromethyl)ethylidene]diphenol and benzyl(diethylamino)diphenylphosphonium 4-[1,1,1,3,3,3-hexafluoro-2-(4-hydroxyphenyl)propan-2-yl]phenolate (1:1) |
| 和名 |
4,4′-[2,2,2-トリフルオロ-1-(トリフルオロメチル)エチリデン]ジフェノールとベンジル(ジエチルアミノ)ジフェニルホスホニウム 4-[1,1,1,3,3,3-ヘキサフルオロ-2-(4-ヒドロキシフェニル)プロパン-2-イル]フェノラートの反応混合物 (1:1) |
| CAS RN |
なし |
| 構造式 |
出典: ECHA |
| 収載理由 |
生殖毒性(第57条 (C)項) |
| 主な用途など |
情報なし |
| 備 考 |
情報なし |
| 例3-3 |
物質名 |
英名 |
Reaction mass of 4,4′-[2,2,2-trifluoro-1-(trifluoromethyl)ethylidene]diphenol and benzyltriphenylphosphonium, salt with 4,4′-[2,2,2-trifluoro-1-(trifluoromethyl)ethylidene]diphenol (1:1) |
| 和名 |
ジフェノールとベンジルトリフェニルホスホニウム塩の反応混合物、4,4-[2,2,2-トリフルオロ-1-(トリフルオロメチル)エチリデン]ジフェノールとの塩(1:1) |
| CAS RN |
なし |
| 構造式 |
出典: ECHA |
| 収載理由 |
生殖毒性(第57条 (C)項) |
| 主な用途など |
情報なし |
| 備 考 |
情報なし |
| 例3-4 |
物質名 |
英名 |
disodium 4,4′-[2,2,2-trifluoro-1-(trifluoromethyl)ethylidene]diphenolate |
| 和名 |
4,4′-[2,2,2-トリフルオロ-1-(トリフルオロメチル)エチリデン]ジフェノレート二ナトリウム塩 |
| CAS RN |
EC No 425-060-9 |
| 構造式 |
情報なし |
| 収載理由 |
生殖毒性(第57条 (C)項) |
| 主な用途など |
ポリマー・樹脂の製造原料:フッ素樹脂や特殊なポリマーのモノマー、架橋剤、または重合用の中間体、高性能な接着剤、シール材、充填材、コーティング剤 |
| 備 考 |
情報なし |
| 例3-5 |
物質名 |
英名 |
4,4′-[2,2,2-trifluoro-1-(trifluoromethyl)ethylidene]diphenol (Bisphenol AF) |
| 和名 |
4,4′-[2,2,2-トリフルオロ-1-(トリフルオロメチル)エチリデン]ジフェノール(ビスフェノールAF) |
| CAS RN |
1478-61-1 |
| 構造式 |
出典: ECHA |
| 収載理由 |
生殖毒性(第57条 (C)項) |
| 主な用途など |
ゴム架橋剤、特殊エンプラ用原料
出典:NITE(独法) 製品評価技術基盤機構/化学工業日報社 |
| 備 考 |
- 化審法:新規公示化学物質(2011年3月31日以前届出)
- 安衛法:名称公表化学物質、皮膚刺激性有害物質
- 米国:有害物質規制法(TSCA):Active
- 韓国:化評法(K-REACH):既存化学物質
- 台湾:TCCSCA/OSHA:既存化学物質
出典:NITE(独法) 製品評価技術基盤機構 |
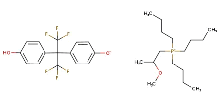
| 例3-6 |
物質名 |
英名 |
Phosphonium, tributyl(2-methoxypropyl)-, salt with 4,4′-[2,2,2-trifluoro-1-(trifluoromethyl)ethylidene]bis[phenol] (1:1) |
| 和名 |
4, 4’-[2, 2, 2-トリフルオロ-1-(トリフルオロメチル)エチリデン]ビスフェノール |
| CAS RN |
126049-00-1 |
| 構造式 |
出典: ECHA |
| 収載理由 |
生殖毒性(第57条 (C)項) |
| 主な用途など |
ゴム架橋剤、特殊エンプラ用原料
出典:NITE(独法) 製品評価技術基盤機構/化学日報社 |
| 備 考 |
- 化審法:新規公示化学物質
- 安衛法:名称公表化学物質、皮膚等障害化学物質等及び特別規則に基づく不浸透性の保護具等の使用義務物質
- 米国:有害物質規制法(TSCA)インベントリーACTIVE
- 韓国:化評法(K-REACH):既存化学物質
- 台湾:TCCSCA/OSHA:既存化学物質
出典:NITE(独法) 製品評価技術基盤機構 |
| 例3-7 |
物質名 |
英名 |
Reaction products of benzene, chlorine and sulfur chloride (S2Cl2) with 4,4′-[2,2,2-trifluoro-1-(trifluoromethyl)ethylidene]diphenol |
| 和名 |
ベンゼン、塩素及び塩化硫黄(S₂Cl₂)と4,4′-[2,2,2-トリフルオロ-1-(トリフルオロメチル)エチリデン]ジフェノールとの反応生成物 |
| CAS RN |
921213-47-0 |
| 構造式 |
出典: ECHA |
| 収載理由 |
生殖毒性(第57条 (C)項) |
| 主な用途など |
フッ素ゴムの耐熱・耐油性を高める架橋剤や材料。
高性能なフッ素エラストマー(ゴム)の製造。 |
| 備 考 |
- 韓国:化評法(K-REACH)/化管法:有害化学物質、重点管理物質、化評法(K-REACH):既存化学物質
- 台湾:TCCSCA/OSHA:既存化学物質
出典:NITE(独法) 製品評価技術基盤機構 |
| 例3-8 |
物質名 |
英名 |
benzyl(diethylamino)diphenylphosphonium 4-[1,1,1,3,3,3-hexafluoro-2-(4-hydroxyphenyl)propan-2-yl]phenolate |
| 和名 |
ベンジル(ジエチルアミノ)ジフェニルホスホニウム 4-[1,1,1,3,3,3-ヘキサフルオロ-2-(4-ヒドロキシフェニル)プロパン-2-イル]フェノレート |
| CAS RN |
577705-90-9 |
| 構造式 |
出典: ECHA |
| 収載理由 |
生殖毒性(第57条 (C)項) |
| 主な用途など |
樹脂・ポリマーの硬化促進剤・改質剤、フッ素ゴム、フッ素樹脂、または特定の耐熱性樹脂の硬化反応を加速させる触媒(硬化促進剤) |
| 備 考 |
出典:NITE(独法) 製品評価技術基盤機構 |
| 例3-9 |
物質名 |
英名 |
N,N-dibutyl-N-methylbutan-1-aminium 4-[1,1,1,3,3,3-hexafluoro-2-(4-hydroxyphenyl)propan-2-yl]phenolate |
| 和名 |
N,N-ジブチル-N-メチルブタン-1-アミニウム 4-[1,1,1,3,3,3-ヘキサフルオロ-2-(4-ヒドロキシフェニル)プロパン-2-イル]フェノレート |
| N |
CAS RN |
EC No 443-330-4 |
| 構造式 |
情報なし |
| 収載理由 |
生殖毒性(第57条 (C)項) |
| 主な用途など |
情報なし |
| 備 考 |
情報なし |